Ви тут:
Например: 27-02-26

Реєстр містобудівних умов та обмежень

Дата наказу про затвердження Номер наказу Замовник об'єкта будівництва Назва об'єкта будівництва Адреса об'єкта будівництва Інформація про внесення змін Підстава для скасування Скан-копія містобудівних умов та обмежень
21-04-2020 №8 Громадська організація «Правозахисний центр «Поступ» Реконструкція нежитлового приміщення під офіс м.Сєвєродонецьк, вул.Федоренка, буд. 49-а/2 (кв-л 41) - - Иконка PDF Містобудівні умови та обмеження № 008-2020
08-04-2020 №7 Бєлинська Ірина Олександрівна Будівництво учбового автомайданчику м. Сєвєродонецьк, вул. Новікова, район заводу опорів - - Иконка PDF Містобудівні умови та обмеження № 007–2020
06-08-2019 №11 Гудков Олександр Миколайович, Гудкова Ганна Олександрівна Реконструкція 6/10000 часток об'єкту нерухомого майна – комплексу будівель та споруд промислового майданчику №1 Сєвєродонецького приладобудівного заводу під будівлю для обслуговування автотранспорту м.Сєвєродонецьк, вул.Федоренка, 10 29.04.2020 внесено зміни за заявою замовника від 28.04.2020 - Иконка PDF Містобудівні умови та обмеження №011-2019
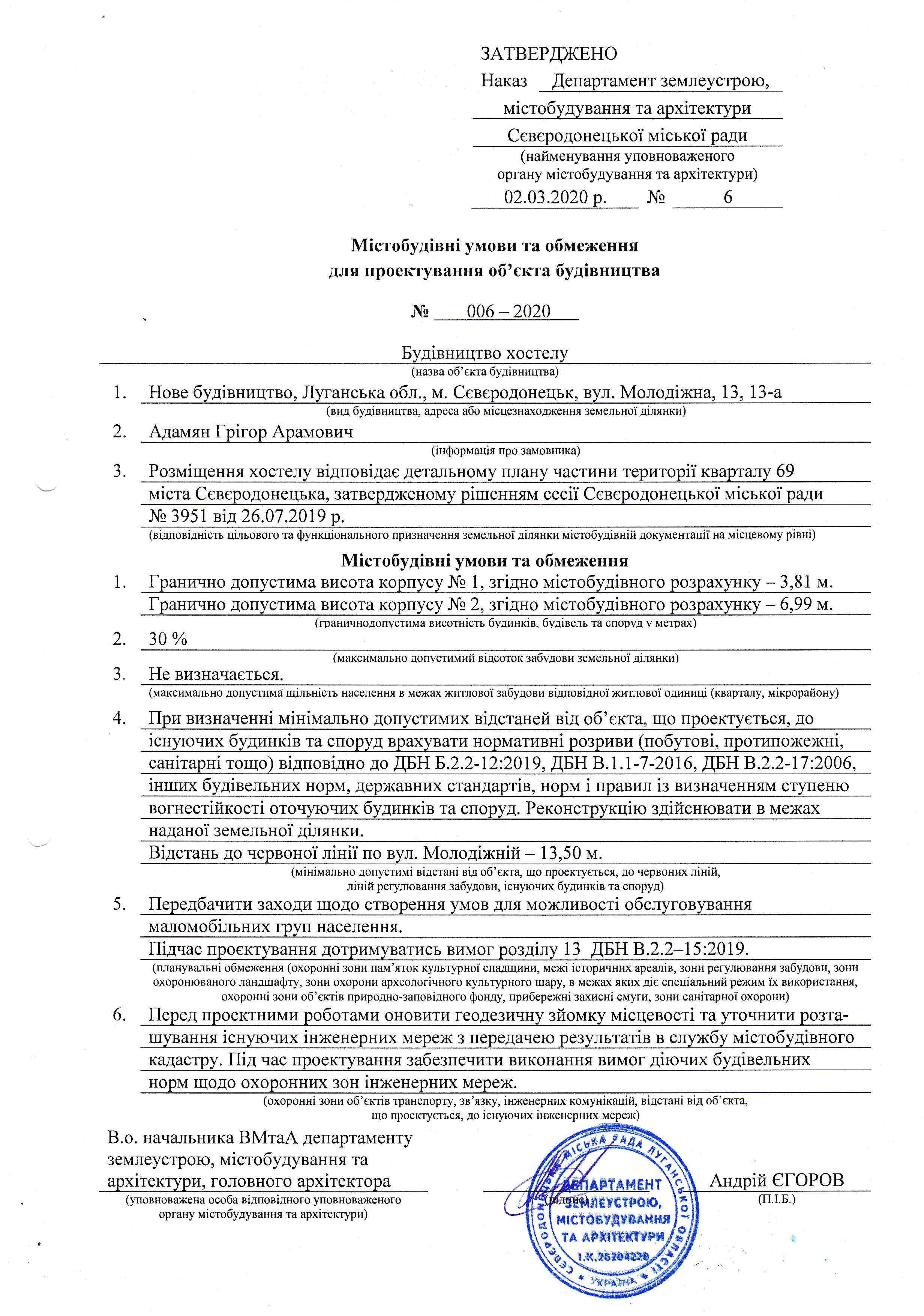
02-03-2020 №6 Адамян Грігор Арамович Будівництво хостелу м. Сєвєродонецьк, вул.Молодіжна, 13, 13-а - - Иконка изображения Містобудівні умови та обмеження № 006–2020
26-02-2020 №5 Подейко Юлія Миколаївна Реконструкція приміщення магазину промислових товарів з будівництвом прибудови м. Сєвєродонецьк, просп. Гвардійський, 63/110 - - Иконка изображения Містобудівні умови та обмеження № 005–2020
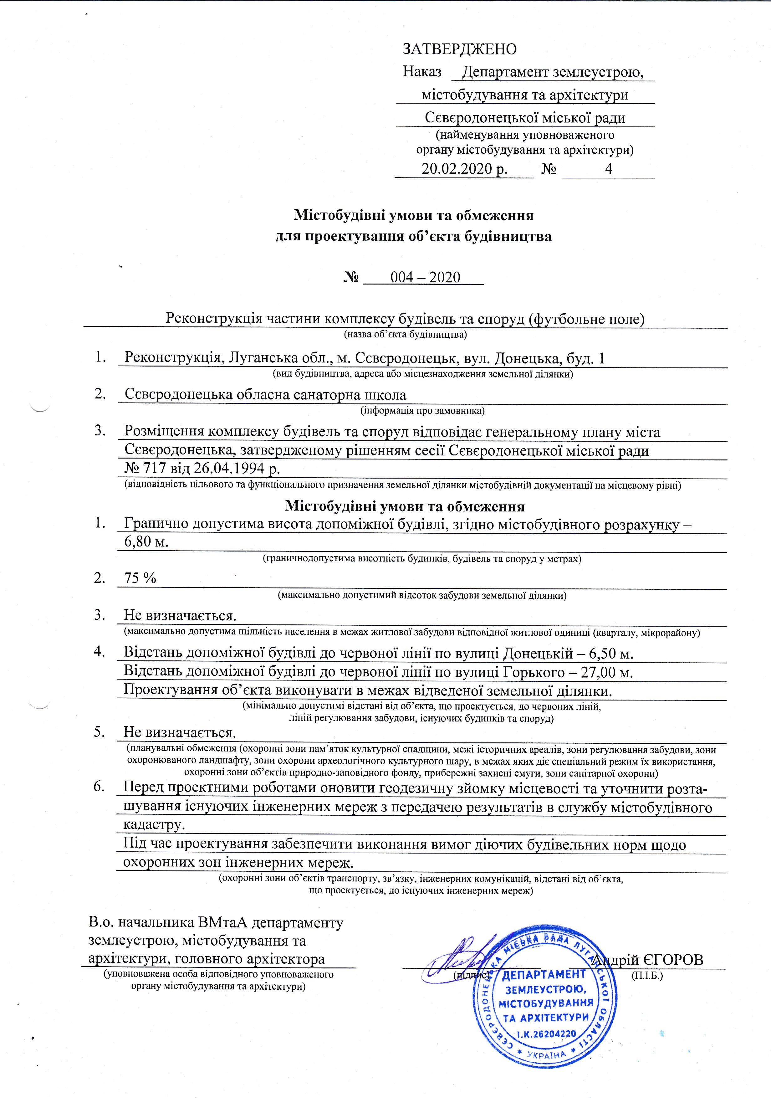
20-02-2020 №4 Сєвєродонецька обласна санаторна школа Реконструкція частини комплексу будівель та споруд (футбольне поле) м. Сєвєродонецьк, вул. Донецька, 1 - - Иконка изображения Містобудівні умови та обмеження № 004–2020
14-02-2020 №3 КП «Сєвєродонецьктеплокомуненерго» Будівництво котельні м. Сєвєродонецьк, вул. Ломоносова, 19 - - Иконка изображения Містобудівні умови та обмеження № 003–2020
31-01-2020 №2 Козир Тетяна Михайлівна Реконструкція квартири № 75 та нежитлового приміщення під двокімнатну квартиру м.Сєвєродонецьк, вул.Курчатова, буд. 1 (мкр-н 79) - - Иконка изображения Містобудівні умови та обмеження № 002-2020
20-01-2020 №1 Смалій Микола Миколайович Реконструкція квартири під офіс м.Сєвєродонецьк, просп. Хіміків, буд. 32, кв. 34 - - Иконка PDF Містобудівні умови та обмеження № 001-2020
23-12-2019 №27 Катаргіна Ганна Сергіївна Реконструкція квартир під салон краси м.Сєвєродонецьк, просп. Центральний, буд.31, кв. 49, 50 - - Иконка изображения Містобудівні умови та обмеження № 027-2019
05-12-2019 №26 Коміссарова Маргарита Юріївна Реконструкція приміщення магазину промислових товарів з будівництвом прибудови м.Сєвєродонецьк, просп. Гвардійський, буд. 22 - - Иконка PDF Містобудівні умови та обмеження № 026-2019
05-12-2019 №25 Дядик Лариса Володимирівна Реконструкція приміщення магазину продовольчих товарів м.Сєвєродонецьк, просп. Комонавтів, буд. 25-а - - Иконка PDF Містобудівні умови та обмеження № 025-2019
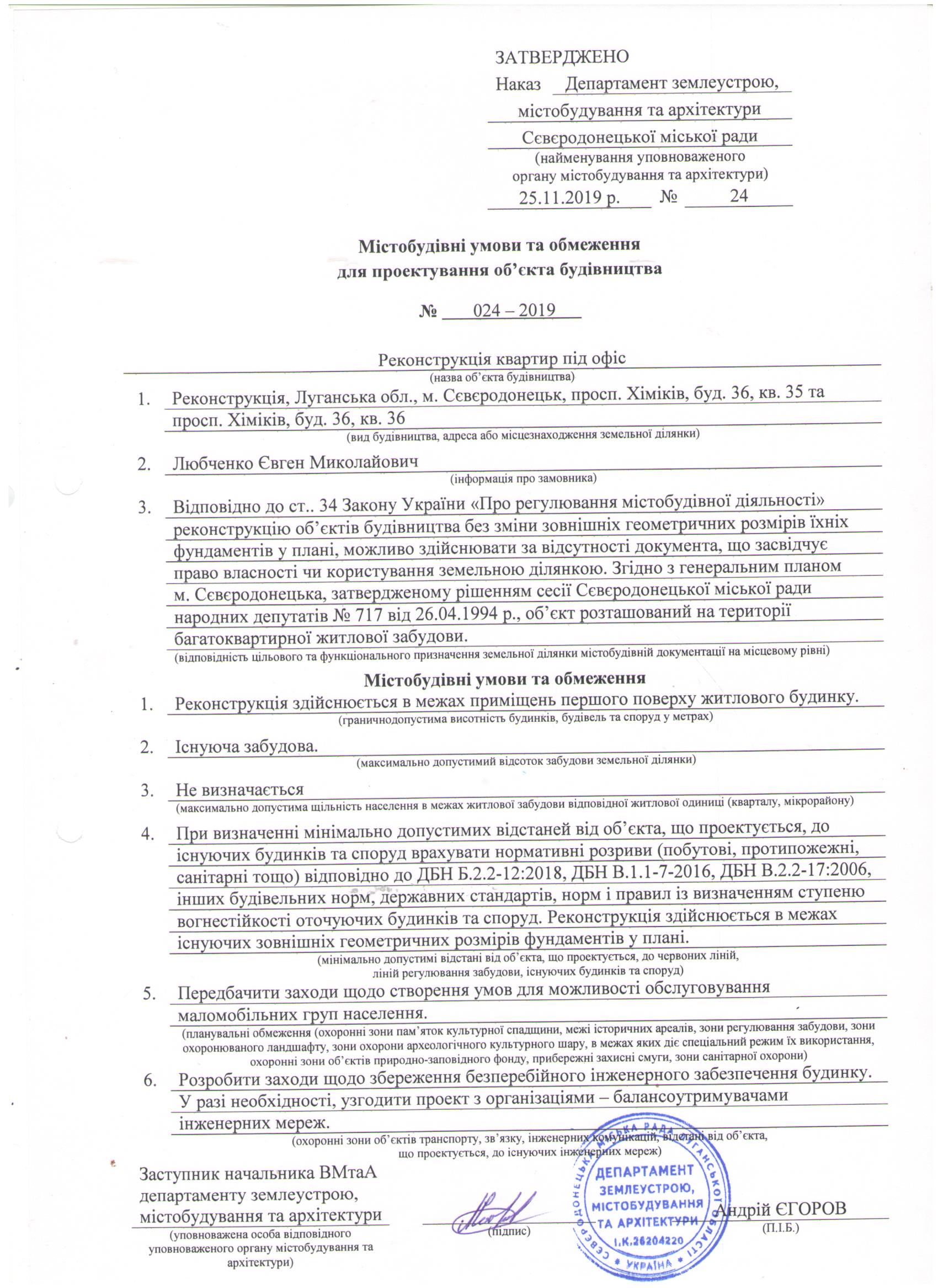
25-11-2019 №24 Любченко Євген Миколайович Реконструкція квартир під офіс м.Сєвєродонецьк, просп. Хіміків, буд. 36, кв. 35 та просп. Хіміків, буд. 36, кв. 36 - - Иконка изображения Містобудівні умови та обмеження № 024-2019
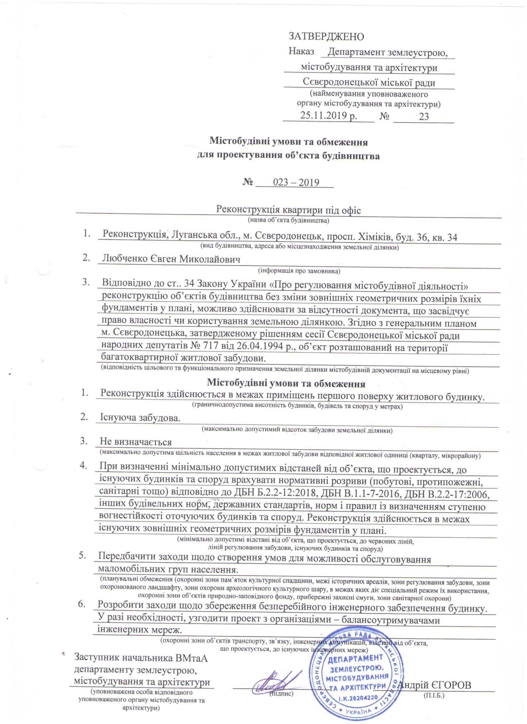
25-11-2019 №23 Любченко Євген Миколайович Реконструкція квартири під офіс м.Сєвєродонецьк, просп..Хіміків, буд. 36, кв. 34 - - Иконка изображения Містобудівні умови та обмеження № 023-2019
25-11-2019 №22 ТОВ «Інвестбуд» Реконструкція будівлі адміністративно-го корпусу з виробничим цехом м.Сєвєродонецьк, вул. Гагаріна, буд. 91 - - Иконка изображения Містобудівні умови та обмеження № 022-2019
25-11-2019 №21 Будник Дар’я Валеріївна Реконструкція приміщення магазину продовольчих товарів і квартири під стоматологічну клініку м.Сєвєродонецьк, вул. Донецька, 39/39 та вул. Донецька, кв. 22 - - Иконка изображения Містобудівні умови та обмеження № 021-2019
20-11-2019 №20 Головне управління Національної поліції в Луганській області Реконструкція гуртожитку під житловий будинок м.Сєвєродонецьк, вул. Маяковського, 20-а - - Иконка изображения Містобудівні умови та обмеження № 020-2019
08-11-2019 №19 ТОВ «Магазин «Продукти» Реконструкція громадського будинку з господарськими (допоміжними) будівлями та спорудами під магазин з кафе м.Сєвєродонецьк, просп. Гвардійський, 44/1 - - Иконка изображения Містобудівні умови та обмеження № 019-2019
16-09-2019 №18 ТОВ Холдінгова компанія «Мрія – Інвест» Будівництво багатоквартирного житлового будинку (буд.№19) м. Сєвєродонецьк, мікрорайон №80 - - Иконка PDF Містобудівні умови та обмеження №018-2019
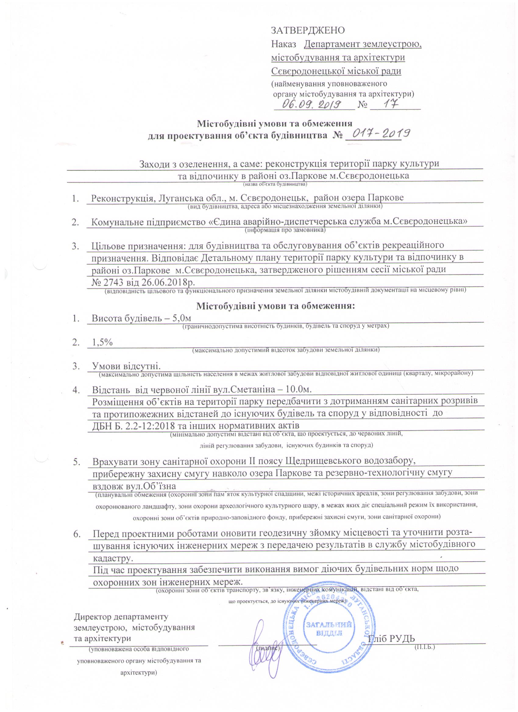
06-09-2019 №17 КП «Єдина аварійно-диспетчерська служба м. Сєвєродонецька» Заходи з озеленення, а саме: реконструкція території парку культури та відпочинку в районі оз. Паркове м. Сєвє-родонецька м. Сєвєродонецьк, район озера Паркове - - Иконка изображения Містобудівні умови та обмеження № 017-2019

Страницы